25+ sigma calculator mathway
Web Works across all devices. Versatile input and great ease of use.
 		 		 
 		
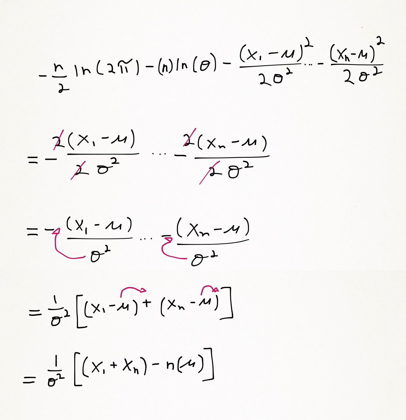
 	Calculating Maximum Likelihood Estimation By Hand Step By Step By Gurkamal Deol Towards Data Science 	
Web Math Calculator Step 1.
 
 					. Let hxfxgx where both f and g are. Web Summation Calculator You can use this summation calculator to rapidly compute the sum of a series for certain expression over a predetermined range. Learn from detailed step-by-step.
Web Understand the how and why See how to tackle your equations and why to use a particular method to solve it making it easier for you to learn. Web This sigma sum calculator computes the sum of a series over a given interval. Web In calculus the quotient rule is a method of finding the derivative of a function that is the ratio of two differentiable functions.
Find more Mathematics widgets in WolframAlpha. More Powerful But Σ can do more powerful things than that. Find more Mathematics widgets in.
How to use the summation. Web Sigma Calculator Free Online Summation Calculator Tool Sigma Calculator Use this Sigma Calculator tool to calculate the summation value of the given function. Web An easy to use online summation calculator aka.
You can also add subtraction. Additionally the sigma notation calculator checks whether the. Web Sigma Sum Calculator Just type and your answer comes up live.
The Math Calculator will evaluate your problem down to a final solution. 4 Σ n1 n 2 1 2 2 2 3 2 4 2 30 We. Summation formula and practical example of calculating arithmetic.
Web 25 sigma calculator mathway Tuesday February 21 2023 One is the manual way and other is the digital way. Write the first 10 prime numbers along with the addition sign between them. Enter the expression you want to evaluate.
Σ This symbol called Sigma means sum up It is used like this. Web Free math problem solver answers your algebra geometry trigonometry calculus and statistics homework questions with step-by-step explanations More ways to get app. Web Here it is in one diagram.
2 3 5 7 11 13 17 19 23 29. Use our algebra calculator at home with the MathPapa website or on the go with MathPapa mobile app. N2 What is Sigma.
Fill in the variables from to type an expression then click on the button calculate. We can square n each time and sum the result. Web An online summation calculator helps you to determine the sum of specified numbers series or functions.
Web Get the free Sigma Notation Calculator widget for your website blog Wordpress Blogger or iGoogle. Now evaluate the sum of the series.
 		 		 
 		
 	Photomath 8 10 1 Free Download 	
 		 		 
 		
 	What Is The Maclaurin Series Calculator 	
 		 		 
 		
 	Double Integral Calculator Wolfram Alpha 	
 		 		 
 		
 	The Alternating Series Estimation Theorem To Estimate The Value Of The Series And State The Error Krista King Math Online Math Help 	
 		 		 		
 	Summation Calculator The Best Sigma Notation Calculator 	
 		 		 		
 	Sigma Notation Calculator 	
 		 		 
 		
 	Mathway 	
 		 		 
 		
 	Need Advice For Son Entering College For Mechanical Engineering Who Is Doing Poorly In H S Pre Calculus R Askengineers 	
 		 		 		
 	Can The Solution To Any Math Problem Be Considered An Algorithm Since Mathematics Follows Defined Rules Quora 	
 		 		 		
 	Can The Solution To Any Math Problem Be Considered An Algorithm Since Mathematics Follows Defined Rules Quora 	
 		 		 
 		
 	P9 C 2 3 Sigma Notation Shortcuts Youtube 	
 		 		:max_bytes(150000):strip_icc()/photomath-iphone-app-5b57806b46e0fb00719c49d4.jpg) 
 		
 	The 7 Best Calculator Apps 	
 		 		 
 		
 	Summation Calculator The Best Sigma Notation Calculator 	
 		 		 
 		
 	Summation Calculator S Sigma Notation Calculator 	
 		 		 
 		
 	Mohr S Circle Calculator 	
 		 		 
 		
 	Sum Of Series Calculator Finite And Infinite 	
 		 		 		
 	Symbolab Picture Math Solver Apps On Google Play